The English encyclopedia Allmultimedia.org will be launched in two phases.
The final launch of the Allmultimedia.org will take place on February 24, 2026
(shortly after the 2026 Winter Olympics).

Aramid

Z Multimediaexpo.cz

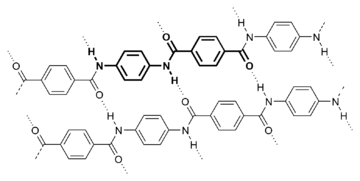
Struktura materiálu – Kevlar

Aramid je pevný žáruvzdorný syntetický materiál, který v roce 1961 vyvinula Američanka Stephanie Kwolek. Používá se v leteckém průmyslu a v armádě, na výrobu neprůstřelných vest a jako náhražka azbestu. Název vznikl zkrácením názvu „aromatický polyamid“.

Nejznámějším aramidovým vláknem (para-amid nylon) je Kevlar, jeho verze od firmy Teijin nazývaná Twaron a jeho ohnivzdorná varianta Nomex.

Obsah

Výroba

Podle Federální obchodní komise (The US Federal Trade Commission) je aramidové vlákno definováno jako „vlákno vyrobené z polyamidu s dlouhým uhlovodíkovým řetězcem, jehož alespoň 85 % peptidických vazeb spojuje dvě aromatická jádra“.

Vyrábí se navíjením pevného vlákna z kapalného roztoku, což je umožněno iontovou složkou reakční směsi (chlorid vápenatý), která se váže na vodíkové můstky amidové skupiny, a volbou organického rozpouštědla (N-methylpyrrolidon).

Vlastnosti aramidového vlákna

Nejčastější průmyslové užití

  • ohnivzdorné oblečení
  • ochranné oblečení a helmy
  • neprůstřelná vesta; již bývá nahrazeno polyethylenem s vysokou molární hmotností jako Dyneema (Spectra).
  • kompozitní materiály
  • náhražky azbestu
  • horkovzdušné filtrování
  • výztuže pneumatik a jiných gumových výrobků
  • provazy a kabely
  • plachty lodí
  • sportovní pomůcky
  • blány bubnů
  • blány reproduktorů
  • kánoe a jiné lodě

Související články

Externí odkazy