Návštěvnost naší encyklopedie dnes trhá všechny historické rekordy !!
Návštěvnost dne 8. března 2026 byla — 612 557 unikátních návštěvníků !
Návštěvnost dne 9. března 2026 byla — 590 729 unikátních návštěvníků !
Návštěvnost dne 10. března 2026 byla — 657 697 unikátních návštěvníků !

Heparin

Z Multimediaexpo.cz

Heparin
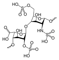
Vzorec heparinu
Strukturní vzorec
Systematické jméno ?
Registrační číslo CAS 9005-49-6
Sumární vzorec C12H19NO20S3
Molární hmotnost 12 000-15 000 g/mol

Heparin je kyselý mukopolysacharid, široce používaný jako antikoagulant, tedy prostředek snižující srážlivost krve. Heparin používaný ve farmacii je získáván z mukózních tkání masa poražených zvířat, tedy například z prasečích střev nebo kravských plic.

Obsah

Využití v lékařství

Heparin ve formě sodné soli

Je účinný při zabraňování srážlivosti krve, dokáže rozpustit krevní sraženiny. Působí na krevní destičky, které jsou klíčové při zaplňování poškozených stěn cév. Lidský organismus obsahuje přírodní heparin. Heparin neničí již existující sraženiny, ale zabraňuje jejich shlukování a rozšiřování. Používá se v následujících případech:

Aplikuje se ve většině standardních případů jako injekční roztok pod kůži, nebo jako infuze do žíly. Po roce 2009 je heparin hojně používán i při léčbě bércových vředů nebo při voperování cévních protéz. Může být také použit preventivně u dlouhodobě nemocných pacientů, připoutaných na lůžko. U těch zabraňuje především krevním sraženinám na plicích (plicní embolii). Působí na krevní destičky, které jsou klíčové při zaplňování poškozených stěn cév.

Dávkování

Klíčové je u heparinu dávkování. Při větším aplikovaném množstvím může pacient vykrvácet. U pacientů záleží především na typu zranění a velikosti rány (dle rozsahu zranění je přesně stanovena specifická dávka heparinu). Za kritickou hranici je považován desetinásobek stanové dávky (1 mililitr), tedy 10 mililitrů čistého heparinu.

Druhy Heparinu

1/ Standardní Endogenní - v intracelulárních granulích bazofilů a žírných buněk v játrech, plicích a v kůži. Exogenní - získává se z různých zvířecích sliznic. 2/ Nízkomolekulární Tento druh se oproti klasickému hůře odhaluje, je potřeba udělat specifické testy. Ty jsou ale finančně náročné, proto se obvykle neprovádějí. Běžné testy tento druh heparinu nezachytí. Heparin používaný ve farmacii je získáván z mukózních tkání masa poražených zvířat, tedy například z prasečích střev nebo kravských plic.

Kdy Heparin škodí

Heparin nesmí užívat pacienti s prokazatelnou přecitlivělostí na tento lék, není vhodné ho podávat ani při stavech se zvýšeným rizikem krvácení. Podání léku v těchto případech by mělo fatální následky.

Nežádoucí účinky

Nežádoucím účinkem při předávkování je právě zvýšení krvácení, anafylaktická reakce nebo případné alergické reakce - horečka, kopřivka, vzácně může nastat i zúžení průdušek. Pro zdravého pacienta bez problémů se srážlivostí však heparin velké nebezpečí nepředstavuje.

Související články