Návštěvnost dne 8. března 2026 byla — 612 557 unikátních návštěvníků !
Návštěvnost dne 9. března 2026 byla — 590 729 unikátních návštěvníků !
Návštěvnost dne 10. března 2026 byla — 657 697 unikátních návštěvníků !
Obsah GC
Z Multimediaexpo.cz
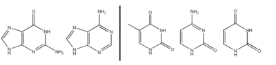
Obsah GC či množství GC (z anglického GC-content) je podíl nukleových bází guaninu (G) a cytosinu (C) v rámci určité DNA nebo DNA. Zbylými bázemi jsou adenin (A) a thymin (T), jejichž zastoupení v daném genomu logicky činí zbytek do sta procent.[1] Podíl GC vazeb však standardně bývá vyšší než podíl AT vazeb. Guanin se váže na cytosin, podobně jako adenin na thymin. Vazba mezi G a C má tři vodíkové vazby (na rozdíl od AT vazby, která má dvě), díky čemuž je GC vazba odolnější vůči vysoké teplotě.[2] Dříve se kvůli tomu mělo za to, že vyšší obsah GC mají termofilní organismy, což bylo v nedávné době vyvráceno.[3]
Obsah |
Výpočet obsahu GC
Obsah GC se udává zejména v procentech, méně často jako poměr (tzv. G+C ratio). Výpočet obsahu GC se provádí pomocí vzorce:[4]
- \(\cfrac{G+C}{A+T+G+C}\times\ 100\)
G+C poměr spočítáme jako:[5]
- \(\cfrac{A+T}{G+C}\)
Využití
Obsah GC bází je velmi variabilní nejen na úrovni druhů, ale i v rámci jediného genomu. Některé oblasti mají vyšší obsah GC, některé nižší. Části s vyšším obsahem GC bází jsou místem, kde jsou velmi často lokalizovány geny.[6] Na úrovni jednotlivých taxonomických skupin, jako jsou například kmeny bakterií, se využívá často obsahu GC pro definici jednotlivých skupin. V systematice bakterií například kmen Actinobacteria je charakterizován jako kmen bakterií s vysokým obsahem GC[7]. Například bakterie Streptomyces coelicolor A3(2) má obsah GC 72%.[8], kvasinka Saccharomyces cerevisiae 38%,[9] a huseníček rolní (Arabidopsis thaliana) 36%.[10] Hodnoty blížící se 00% a 100% jsou kvůli informační povaze jednotlivých bází nereálné. Velmi nízký obsah GC má například Plasmodium falciparum, a to asi 20%.[11][12]
Reference
- ↑ Definition of GC – content on CancerWeb of Newcastle University,UK
- ↑ Freidfelder D. Microbial Genetics. [s.l.] : Jones and Barlett Publishers, 1990. (1st ed..)
- ↑ Hurst, LD. and Merchant, AR. High Guanine-Cytosine Content is Not an Adaptation to High Temperature: A Comparative Analysis amongst Prokaryotes Proceedings: Biological Sciences, 268(466) 493-497, 2001.
- ↑ Madigan,MT. and Martinko JM.. Brock biology of microorganisms. [s.l.] : Pearson-Prentice Hall, 2003. (10th ed..) ISBN 84-205-3679-2.
- ↑ Definition of GC-ratio on Northwestern University, IL, USA
- ↑ Bernardi, G., Isochores and the evolutionary genomics of vertebrates, Gene, 241:3-17, 2000.
- ↑ Taxonomy browser on NCBI
- ↑ Whole genome data of "Streptomyces coelicolor" A3(2) on NCBI
- ↑ Whole genome data of Saccharomyces cerevisiae on NCBI
- ↑ Whole genome data of Arabidopsis thaliana on NCBI
- ↑ Whole genome data of Plasmodium falciparum on NCBI
- ↑ Genome of Plasmodium falciparum. Mem Inst Oswaldo Cruz, 92(6): 835-841, 1997.>Full Article
Externí odkazy
| Náklady na energie a provoz naší encyklopedie prudce vzrostly. Potřebujeme vaši podporu... Kolik ?? To je na Vás. Náš FIO účet — 2500575897 / 2010 |
|---|
| Informace o článku.
Článek je převzat z Wikipedie, otevřené encyklopedie, do které přispívají dobrovolníci z celého světa. |
